Determinação da sobrecarga anaeróbia em exercício intermitente a partir do modelo de potência crítica

Determinação da sobrecarga anaeróbia em exercício intermitente a partir do modelo de potência crítica

Autores

  • Fábio Yuzo Nakamura Centro de Educação Física e Desportos UEL, Londrina, PR
  • Kelly Regina Thomaz da Silva Departamento de Educação Física da UNESP, Rio Claro, SP
  • Nilo Massaru Okuno Universidade de São Paulo, São Paulo, SP
  • Gleber Pereira Departamento de Educação Física da UNESP, Rio Claro, SP
  • Eduardo Kokubun Departamento de Educação Física da UNESP, Rio Claro, SP

DOI:

https://doi.org/10.5016/1330

Palavras-chave:

Potência crítica. Capacidade de trabalho anaeróbio. Cicloergômetro.

Resumo

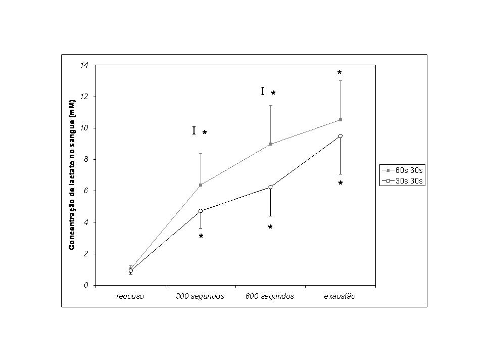
O objetivo do estudo foi estimar a sobrecarga anaeróbia em exercício intermitente, por meio do modelo de potência crítica (PC), manipulando as durações absolutas de esforços e pausas (30s:30s e 60s:60s), porém com a razão esforço:pausa (E:P) invariável. Sete indivíduos realizaram 4 testes retangulares exaustivos em cicloergômetro para determinação da PC e capacidade de trabalho anaeróbio (CTA). Em outras duas sessões, os participantes realizaram dez esforços com E:P de 30s:30s e cinco esforços de 60s:60s com intensidade 70% superior à PC, seguido por um esforço até a exaustão com duração conhecida para determinar a CTA reposta e remanescente. Também foram determinadas concentrações de lactato sangüíneo nos protocolos intermitentes. Houve maior sobrecarga anaeróbia no protocolo intermitente de 60s:60s devido à menor duração do exercício (59%), CTA reposta (84%) e CTA remanescente (57%) do que no protocolo de 30s:30s, além do lactato sangüíneo (66%) e CTA líquido (38%) serem maiores no protocolo 60s:60s.

Biografia do Autor

Fábio Yuzo Nakamura, Centro de Educação Física e Desportos UEL, Londrina, PR

Atualmente, é professor adjunto do Departamento de Educação Física da Universidade Estadual de Londrina. Ministra a disciplina de Bases Biodinâmicas da Atividade Motora no curso de Bacharelado em Educação Física. Atua como orientador no Programa Associado de Pós-Graduação em Educação Física UEM/UEL. Lidera o Grupo de Estudo das Adaptações Fisiológicas ao Treinamento (GEAFIT). Atua como consultor da Revista Brasileira de Medicina do Esporte, Revista Brasileira de Educação Física e Esporte, Revista Brasileira de Cineantropometria e Desempenho Humano, Revista da Educação Física/UEM, Motriz e European Journal of Applied Physiology. Possui publicações na área de Fisiologia do Exercício, com ênfase em temas como potência crítica, esforço percebido, variabilidade da freqüência cardíaca, e treinamento no esporte. No momento (2008) coordena o Programa de Pós-Graduação em Educação Física, pela UEL, e é bolsista Produtividade em Pesquisa pelo CNPq, nível 2. http://lattes.cnpq.br/6741068029044612

Kelly Regina Thomaz da Silva, Departamento de Educação Física da UNESP, Rio Claro, SP

Bacharel em Educação Física pela UNESP-Rio Claro

Nilo Massaru Okuno, Universidade de São Paulo, São Paulo, SP

possui graduação em Licenciatura Em Educação Física e mestrado em Educação Física pela Universidade Estadual de Londrina (2007). Atua principalmente nos seguintes temas: potência crítica e capacidade de trabalho anaeróbio, e respostas psicofisiológicas do exercício físico. http://lattes.cnpq.br/4921169330181659

Gleber Pereira, Departamento de Educação Física da UNESP, Rio Claro, SP

Bacharel em Educação Física pela Universidade Estadual Paulista Júlio de Mesquita Filho (2001), Mestre em Ciências da Motricidade pela Universidade Estadual Paulista Júlio de Mesquita Filho (2004) e, Doutor em Ciências da Motricidade pela Universidade Estadual Paulista Júlio de Mesquita Filho (2007). Atua na área de Educação Física, com ênfase em fadiga neuromuscular, atuando principalmente nos seguintes temas: ciclo de alongamento-encurtamento, potência crítica, coordenação e controle do movimento, e percepção subjetiva de esforço. http://lattes.cnpq.br/0790397989788798

Eduardo Kokubun, Departamento de Educação Física da UNESP, Rio Claro, SP

possui graduação em Educação Física pela Universidade de São Paulo (1979) , mestrado em Educação Física pela Universidade de São Paulo (1984) e doutorado em Ciências (Fisiologia Humana) pela Universidade de São Paulo (1990) . Atualmente é PROFESSOR ADJUNTO da Universidade Estadual Paulista Júlio de Mesquita Filho, Representante de Área do Coordenação de Aperfeiçoamento de Pessoal de Nível Superior e Consultor ad-hoc do Conselho Nacional de Desenvolvimento Científico e Tecnológico. Tem experiência na área de Fisiologia , com ênfase em Fisiologia do Esforço. Atuando principalmente nos seguintes temas: Natacao, aeróbio, anaeróbio, modelo matemático. http://lattes.cnpq.br/3650843918755682

Downloads

Arquivos adicionais

Publicado

2008-07-23

Edição

Seção

Artigo Original

Artigos mais lidos pelo mesmo(s) autor(es)

1 2 > >> 
Loading...